

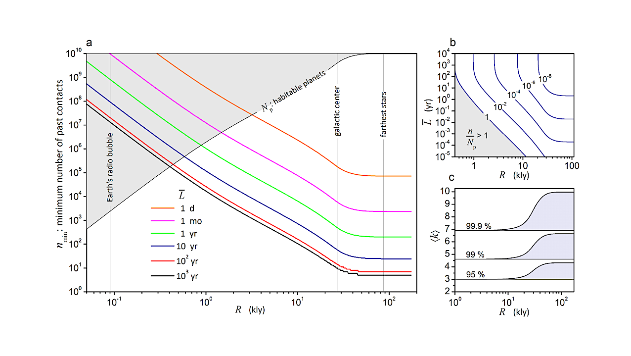
Results assuming undetected contacts with technoemissions over the past 65 yr. (a) Minimum number nmin of undetected past contacts required to achieve a present-day detectability of at least 95%, as a function of the search radius R. The thin black line shows the number of habitable planets Np as a function of R calculated from Np = 1010∫ drρdisk(r)θ(R − d), where d is the distance from Earth. The gray region marks where n > Np. (b) Average emitter longevity vs. R for selected n/Np values. (c) Upper and lower bounds on the expected number of present-day detections, 〈k〉, computed from Equation (15) for detectabilities P = 95 %, 99%, and 99.9%. For each P, all possible 〈k〉 values lie within the corresponding colored areas. — The Astronomical Journal
Since the first SETI experiment in 1960, astronomers have scanned the Milky Way for signs of advanced extraterrestrial civilizations. These searches have covered radio waves, optical flashes, and infrared heat signatures.
So far, they have found nothing confirmed. That silence is often explained by saying we have only searched a tiny part of the cosmic landscape. But what if signals did reach Earth and slipped past us?
A technosignature is any measurable signal or physical trace that points to the existence of advanced technology beyond Earth, for example artificial radio transmissions, laser flashes, or excess heat from large-scale engineering projects.
For a technosignature to be detected, two things must happen. First, the signal must physically reach Earth. Second, our instruments must be sensitive enough to detect it, pointed in the right direction, and able to distinguish it from natural signals. This means that a signal can satisfy the first condition and still fail the second. It could be too weak, too brief, sent at the wrong wavelength, or lost in background noise.
It is often suggested that this may have already happened: alien technosignatures may have reached Earth during the past six decades but have gone unnoticed. If that is true, it suggests that more signals could be passing by right now, just waiting to be detected as our instruments improve.
A new study challenges that assumption. EPFL theoretical physicist Claudio Grimaldi, from the Laboratory of Statistical Biophysics, has now examined what undetected past contacts would mean for today’s SETI searches. Using a statistical approach, Grimaldi asked how many alien signals must have crossed Earth since 1960 for there to be a high chance of detecting one today, and how far from Earth those signals would most likely come from.
The study is published in The Astronomical Journal.
Grimaldi modeled technosignatures as emissions from distant technological species or their artifacts somewhere in the Milky Way. These emissions spread at the speed of light and, in this model, can last from very short periods such as days to very long ones lasting thousands of years.
Earth is “contacted” if such a signal passes through our location in space. Detection only happens if the source lies within a range where its signal is strong enough for our telescopes to detect, a distance that stands in for both signal strength and instrument sensitivity.
Grimaldi used a Bayesian statistical approach, a method that updates estimates as new information is taken into account, to link three elements:
He considered both omnidirectional signals, such as waste heat from large structures, and highly focused ones, such as beacons or laser flashes. The analysis treats these cases on equal footing.
Challenging the current view
The theoretical study’s findings challenge a common optimistic view. If scientists want a high probability of detecting technosignatures within a few hundred or even a few thousand light-years today, this would require that a very large number of technosignals must have passed Earth unnoticed in the past. In many scenarios, this number becomes implausibly large, sometimes exceeding the number of potentially habitable planets in that region of the Galaxy, which makes such scenarios highly unlikely rather than strictly impossible.
This changes only when searches extend much farther out. If technosignatures are long-lived and spread across the Milky Way, detection becomes more plausible at distances of several thousand light-years or more. Even then, only a few detectable signals at most would be expected across the entire Galaxy at any given time.
A long and broader road ahead
The study suggests that the fact that signals may have remained unnoticed in the past does not mean detection is just around the corner. If extraterrestrial technologies exist and have contacted Earth, they are more likely to be rare, distant, or long-lasting rather than nearby and frequent.
This reframes the search as a patient, long-term effort rather than a waiting game for obvious signals. It also strengthens the case for deep, wide surveys that scan large parts of the Milky Way instead of focusing only on our cosmic neighborhood.
Claudio Grimaldi. Undetected Past Contacts with Technological Species: Implications for Technosignature Science. The Astronomical Journal 16 February 2026. DOI: 10.3847/1538-3881/ae394b (open access)
Astrobiology, SETI, Technosignature,






