

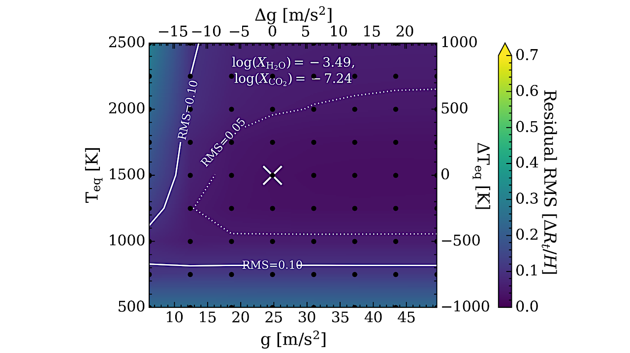
Appropriateness of stacking two planets with identical chemical abundances (H2O and CO2 as the only active species) across surface gravity (𝑔) and equilibrium temperature (Teq). The reference planet is marked by the white cross and is paired with a second planet shown as black dots. The background colour shows the residual RMS between the stacked spectra and the geometric mean abundance spectra at 𝑅 = 600. White contours indicate RMS = 0.05 (dotted) and = 0.1 Δ𝑅𝑡 /𝐻 (solid). The RMS is never larger than the average uncertainty in the stacked spectrum (= 0.3 Δ𝑅𝑡 /𝐻). This illustrates that the geometric mean abundance spectrum closely reproduces the stacked spectrum for planets with identical abundances and two dominant opacity sources within this range of surface gravity and temperature. — astro-ph.EP
In many areas of astronomy, spectra of different objects are co-added or stacked to improve signal-to-noise and reveal population-level characteristics.
As the number of exoplanets with measured transmission spectra grows, it becomes important to understand when stacking spectra from different exoplanets is appropriate and what stacked spectra represent physically.
Stacking will be particularly valuable for long-period planets, where repeated observations of the same planet are time-consuming. Here, we show that stacked exoplanet transmission spectra are approximately mathematically equivalent to spectra generated from the geometric mean of each planet’s abundance ratios. We test this by comparing stacked and geometric mean spectra across grids of forward models over JWST’s NIRSpec/G395H wavelength range (2.8-5.2μm).
For two dominant species (e.g., H2O and CO2), the geometric mean accurately reflects the stacked spectrum if abundance ratios are self-similar across planets. Introducing a third species (e.g., CH4) makes temperature a critical factor, with stacking becoming inappropriate across the CO/CH4 boundary. Surface gravity exerts only a minor influence when stacking within comparable planetary regimes.
We further assess the number of stacked, distinct sub-Neptunes with high-metallicity atmospheres and low-pressure cloud decks required to rule out a flat spectrum at >5σ, as a function of both cloud deck pressure and per-planet spectral precision. These results provide guidance on when stacking is useful and on how to interpret stacked exoplanet spectra in the era of population studies of exoplanets.
James Kirk, James E. Owen
Comments: 15 pages, 14 figures, submitted to MNRAS
Subjects: Earth and Planetary Astrophysics (astro-ph.EP); Instrumentation and Methods for Astrophysics (astro-ph.IM)
Cite as: arXiv:2510.27386 [astro-ph.EP] (or arXiv:2510.27386v1 [astro-ph.EP] for this version)
https://doi.org/10.48550/arXiv.2510.27386
Focus to learn more
Submission history
From: James Kirk
[v1] Fri, 31 Oct 2025 11:25:30 UTC (4,585 KB)
https://arxiv.org/abs/2510.27386
astrobiology, astrochemistry,






