

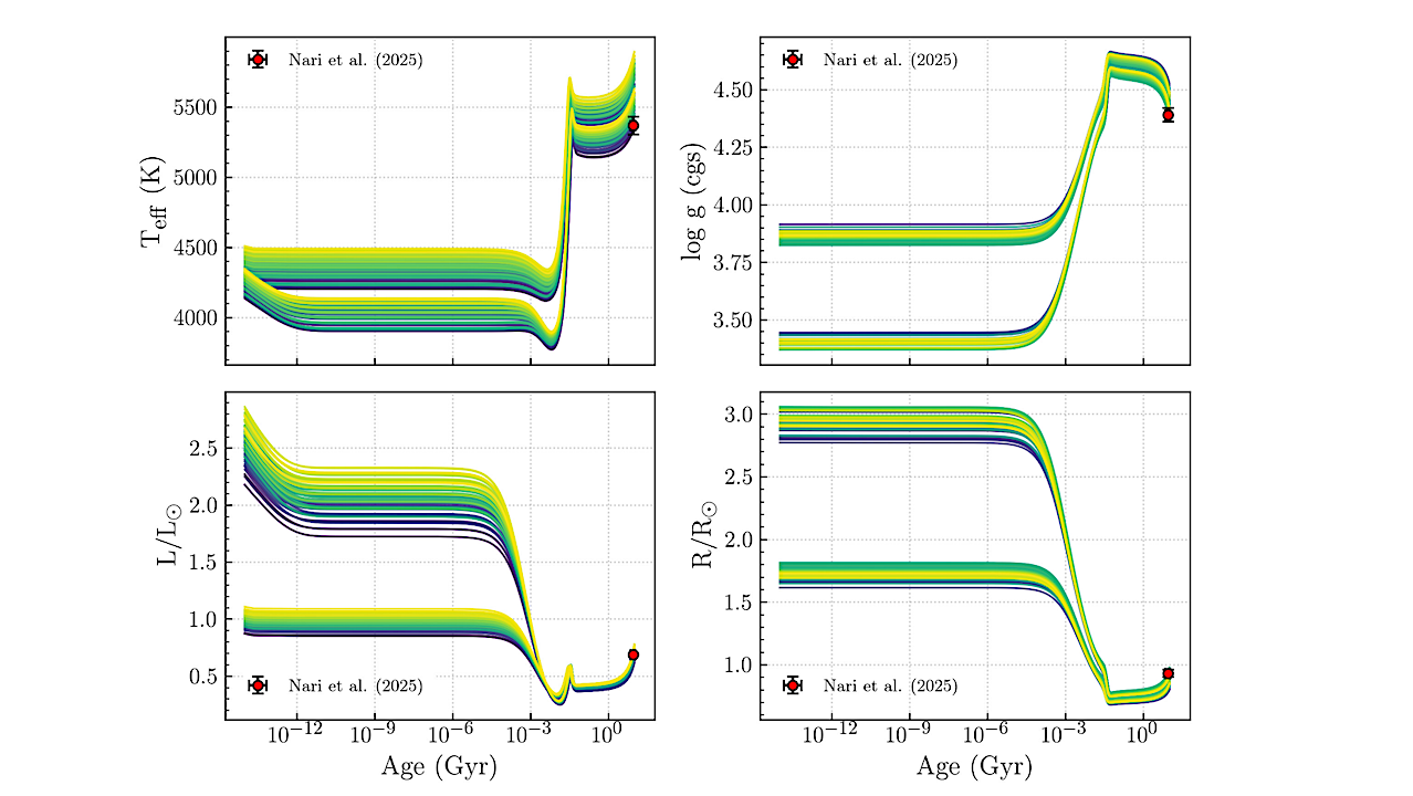
Evolutionary tracks of HD 20794 computed with MESA, showing the time evolution of effective temperature (Teff), surface gravity (log g), luminosity (L/L⊙), and radius (R/R⊙) as a function of stellar age. All models were computed assuming an initial metallicity Z ≃ 0.005 and helium abundances in the range Y = 0.2525–0.2575, corresponding to ΔY/ΔZ = 1.5–2.5 at fixed metallicity. Coloured curves represent models spanning the explored parameter grid in mass, mixing-length parameter, numerical resolution, and atmospheric boundary conditions. The red dot denotes the observed values from (Nari et al. 2025). Error bars indicate the quoted observational uncertainties, which are smaller than the plotting symbols in some panels. Only a narrow subset of models simultaneously reproduces all four observables at a common age of ∼8–10 Gyr, supporting the adopted stellar parameters and evolutionary state of HD 20794. The apparent termination of the evolutionary tracks near the observed location reflects the fact that all models were evolved up to an age of 10 Gyr. The convergence of the tracks, therefore, indicates successful calibration rather than a physical endpoint of stellar evolution. — astro-ph.SR
HD-20794 is a nearby, bright, metal-poor G-type dwarf hosting a compact planetary system, including a super-Earth near the habitable zone.
Its low stellar activity and the availability of precise radial-velocity and photometric data make it an excellent benchmark for studying stellar structure and chemical abundances in low-metallicity planet-hosting stars.
We present, to our knowledge, the first grid-based stellar evolution analysis of HD-20794 using MESA, focusing on its main-sequence and late main-sequence evolution. A set of 252 stellar models was computed for initial masses between 0.78 and 0.80M⊙, varying convective efficiency, numerical resolution, and atmospheric boundary conditions.
Models were selected through χ2 minimization using observed constraints on effective temperature, surface gravity, luminosity, radius, and age. The best-fit models favor a mass of 0.80M⊙ and an age of about 9~Gyr, reproducing all observed stellar properties within uncertainties. They also successfully recover the observed surface abundance pattern over a wide range of elements, including light elements, α-elements, and the odd-Z species phosphorus and chlorine.
Comparison with nucleosynthesis yields from massive stars suggests that the measured phosphorus and chlorine abundances are compatible with enrichment from core-collapse supernovae and have remained preserved during stellar evolution.
Our results support standard stellar evolution theory, indicating that low-mass, metal-poor G dwarfs such as HD-20794 can retain their natal chemical signatures over Gyr timescales.
This highlights their importance as probes of stellar evolution, Galactic chemical enrichment, and the chemical environments associated with long-lived planetary systems.
Mrinmay Medhi, Mami Deka, Krishna Saha, Vivek Baruah Thapa, Upakul Mahanta
Comments: 10 pages, 4 figures. Accepted for publication in MNRAS
Subjects: Solar and Stellar Astrophysics (astro-ph.SR); Earth and Planetary Astrophysics (astro-ph.EP)
Cite as: arXiv:2604.24596 [astro-ph.SR](or arXiv:2604.24596v1 [astro-ph.SR] for this version)
https://doi.org/10.48550/arXiv.2604.24596
Focus to learn more
Submission history
From: Vivek Baruah Thapa
[v1] Mon, 27 Apr 2026 15:20:58 UTC (3,208 KB)
https://arxiv.org/abs/2604.24596
Astrobiology, exoplanet,






