

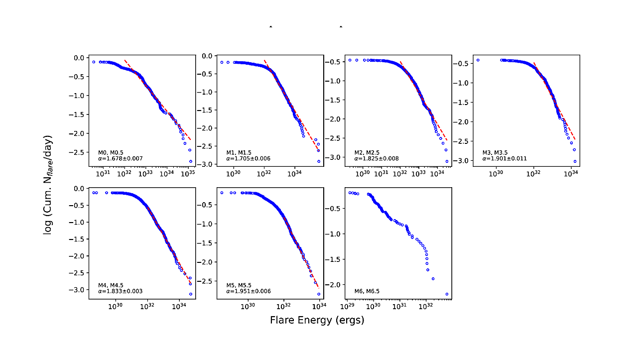
Cumulative flare frequency distribution for M dwarfs plotted as a function of flare energy across spectral types. The red dashed line shows the power-law fit (see Section 3.4). For the M6–M6.5 sample, no fit is shown due to the limited number of flares. — astro-ph.SR
Most M dwarfs show higher chromospheric activity, often exceeding solar levels. Characterizing stellar activity is essential, particularly since these stars are prime targets in the search for habitable exoplanets.
We investigate the stellar activity of active M dwarfs using TESS photometry combined with spectroscopic observations. We explore relations between flare occurrence rate (FOR), flare energies, rotation period, starspot filling factor, and chromospheric indicators. We also examine correlations between flare amplitude, duration, and cumulative flare frequency distributions to probe the mechanisms behind magnetic activity.
We find that FOR is flat across spectral types M0-M4 but declines for cooler M dwarfs. Rapid rotators (Prot<1 day) display significantly higher FOR and flare activity. M dwarfs with higher FOR tend to have lower flare amplitudes, suggesting that frequent flares are generally less energetic. For stars with 0.15–0.76 M⊙, the median LHα/Lbol varies by a factor of 2.5 across mass bins of 0.1 M⊙, while ΔEW decreases by 92%.
The cumulative flare frequency distributions show a decrease in the power-law slope from M0 to M5, with α ranging from 1.68 to 1.95. Our results indicate a transition in stellar activity near M4, where stronger Hα emission coincides with higher FOR. We confirm that chromospheric and flare activity follow a power-law relation, highlighting the interplay between magnetic fields and flaring in M dwarfs.
We also find that fast rotators sustain frequent flaring through strong dynamos, and that highly active stars dissipate magnetic energy via numerous low-energy flares rather than rare high-energy ones.
A. S. Rajpurohit, V. Kumar, K. Srivastava Mudit, L. Labadie, K. Rajpurohit, J. G. Fernandez-Trincado
Comments: 18 pages, 16 figures, 4 tables, accepted for publication in Astronomy & Astrophysics
Subjects: Solar and Stellar Astrophysics (astro-ph.SR)
Cite as: arXiv:2510.02693 [astro-ph.SR] (or arXiv:2510.02693v2 [astro-ph.SR] for this version)
https://doi.org/10.48550/arXiv.2510.02693
Focus to learn more
Submission history
From: Arvind Rajpurohit Dr
[v1] Fri, 3 Oct 2025 03:19:10 UTC (603 KB)
[v2] Thu, 9 Oct 2025 09:34:13 UTC (723 KB)
https://arxiv.org/abs/2510.02693
Astrobiology,






