

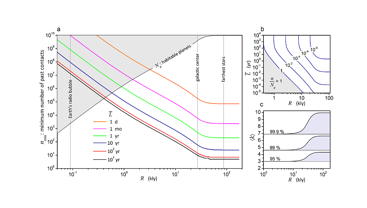
Results assuming undetected contacts with technoemissions over the past 65 years. a: Number n of undetected past contacts required to achieve a present-day detectability of at least 95 %, as a function of the search radius R. The thin black line shows the number of habitable planets Np as a function of R calculated from Np = 1010 R dxrρdisk(r)θ(R − d), where d is the distance from Earth. The grey region marks where n > Np. b: Average emitter longevity versus R for selected n/Np values. c: Upper and lower bounds on the expected number of present-day detections, ⟨k⟩, computed from Equation (15) for detectabilities P = 95%, 99%, and 99.9% . For each P, all possible ⟨k⟩ values lie within the corresponding colored areas. — astro-ph.EP
In the search for extraterrestrial intelligence (SETI), the highly incomplete sampling of the technosignature search space is often considered as a plausible explanation for the persistent lack of detections over six decades of searches.
If correct, this would imply that technosignatures may already have reached Earth without being detected or correctly identified. Here, we explore this possibility using a Bayesian inference framework to estimate present-day detectability given n≥1 undetected contacts over the past 65 years — the period since the first SETI experiment.
We show that achieving high detectability of technosignatures emitted within a few hundred light-years of Earth would require implausibly large n values, even exceeding the population of habitable planets within that range.
More conservative estimates can be obtained only assuming that emitters are tightly clustered near Earth or that their population in the Milky Way has undergone a very recent and sudden boost. This tension is further exacerbated for short-lived technosignatures and persists whether they are omnidirectional, as in Dysonian megastructures, or directional, as in intentional communication attempts.
These findings suggest that, if undetected past contacts from the Milky Way have indeed occurred, the best prospects of detection may lie in searches extending over several thousand light-years, though only a few detectable technoemissions would be expected.
Claudio Grimaldi
Comments: 11 pages, 4 figures
Subjects: Instrumentation and Methods for Astrophysics (astro-ph.IM); Earth and Planetary Astrophysics (astro-ph.EP)
Cite as: arXiv:2602.17736 [astro-ph.IM] (or arXiv:2602.17736v1 [astro-ph.IM] for this version)
https://doi.org/10.48550/arXiv.2602.17736
Focus to learn more
Journal reference: The Astronomical Journal, 171, 154, 2026
Related DOI:
https://doi.org/10.3847/1538-3881/ae394b
Focus to learn more
Submission history
From: Claudio Grimaldi
[v1] Wed, 18 Feb 2026 22:24:02 UTC (566 KB)
https://arxiv.org/abs/2602.17736
Astrobiology, SETI,






