

MATRIX injection-and-recovery experiment conducted to establish the detection limits using the ten TESS sectors described in Sect. 3.1. We explored a total of 18000 different scenarios, where each pixel evaluated 40 of them. Color indicates recovery rate: bright yellow for high recovery, dark purple/black for low recovery. The solid blue line indicates the 95% recovery contour, the dashed white line marks the 50%, and the solid white line corresponds to the 5%. Blue, red, and green points show planets b and c, and candidate .02, respectively. Blackedged circles denote planets orbiting the primary star; edge-free circles indicate the secondary star. — astro-ph.EP
We report the discovery of two “warm” exoplanets orbiting a very tight pair of small, cool stars called TOI-2267.
We report the discovery of two “warm” exoplanets orbiting a very tight pair of small, cool stars called TOI-2267. This binary system consists of an M5 star (TOI-2267A) and an M6 star (TOI-2267B) that appear extremely close together in the sky—only 0.384 arcseconds apart—which corresponds to a physical separation of about 8 astronomical units. The system is located just 22 parsecs from our Solar System. To confirm that the signals we detected were truly planets, we combined data from NASA’s Transiting Exoplanet Survey Satellite (TESS) with ground-based observations, high-resolution imaging, archival measurements, and statistical validation techniques.
Based on the available data, we cannot yet tell for certain which of the two stars the planets actually orbit. If the planets orbit TOI-2267A, they are close to Earth-sized, with radii of 1.00±0.11 and 1.14±0.13 Earth radii for TOI-2267 b (which orbits every 2.28 days) and TOI-2267 c (which orbits every 3.49 days). If they instead orbit TOI-2267B, their radii would be slightly larger due to the star’s dimmer brightness, at 1.22±0.29 and 1.36±0.33 Earth radii.
TESS data also show a third, strong periodic signal at 2.03 days, labeled TOI-2267.02. Statistical analysis suggests this signal is also likely caused by a planet, but follow-up observations from the ground did not detect it, so it remains a “planetary candidate.” Its radius would be roughly Earth-sized—0.95±0.12 or 1.13±0.30 Earth radii—depending on whether it orbits star A or B.
If the candidate is confirmed, orbital dynamics show that all three planets cannot orbit the same star without becoming unstable. The most likely arrangements are that planets b and c orbit one star while .02 orbits the other, or that .02 and c orbit the same star while b orbits the other. A configuration where .02 and b orbit the same star appears unstable. The fact that planets b and c lie close to a 3:2 mean-motion resonance (meaning their orbital periods are in a nearly perfect 3:2 ratio) also suggests they orbit the same star, with .02 around the other.
If this scenario is correct, TOI-2267 would be the most compact binary system known to host planets around both stars. This makes it a rare and valuable system for understanding how planets form and evolve in environments where two stars orbit extremely close together.

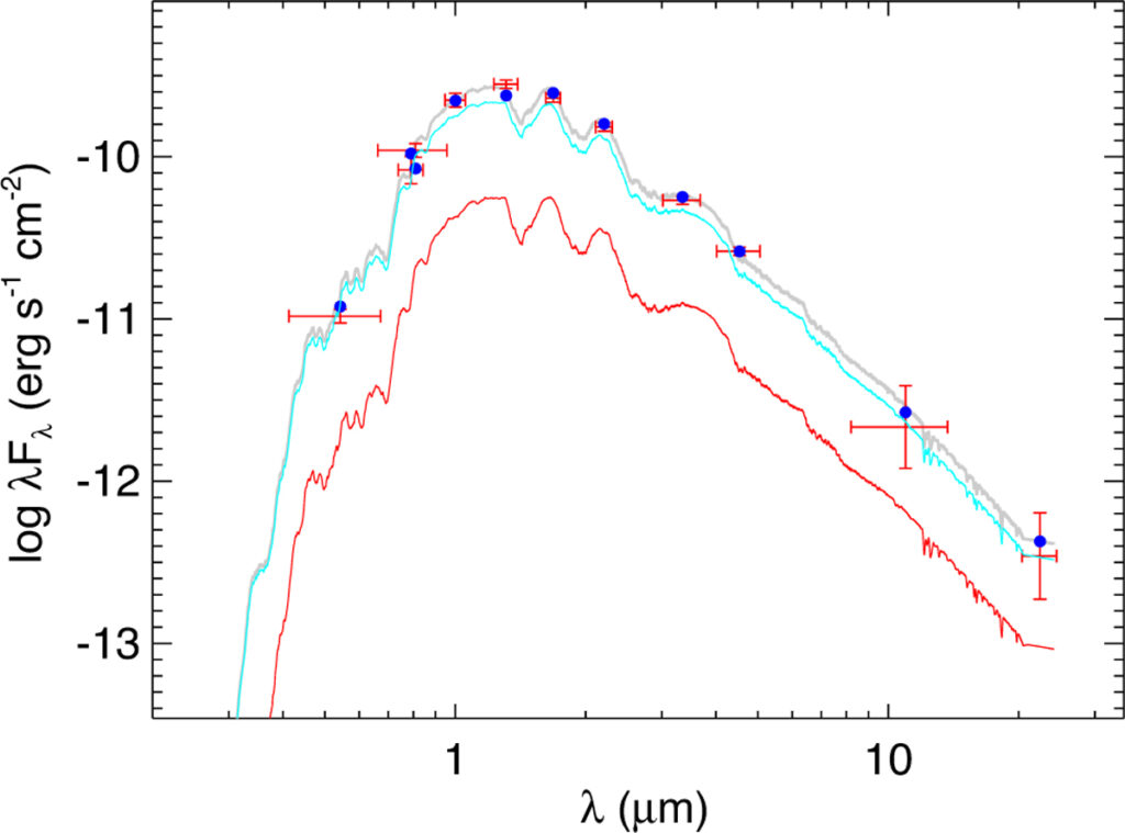
Spectral energy distribution of TOI-2267. Red symbols represent the observed photometric measurements, where the horizontal bars represent the effective width of the passband. Blue symbols are the model fluxes from the best-fit NextGen stellar atmosphere model for the two stellar components (hot component in blue, cool component in red, combined light in black).
S. Zúñiga-Fernández, F. J. Pozuelos, M. Dévora-Pajares, N. Cuello, M. Greklek-McKeon, K. G. Stassun, V. Van Grootel, B. Rojas-Ayala, J. Korth, M. N. Günther, A. J. Burgasser, C. Hsu, B. V. Rackham, K. Barkaoui, M. Timmermans, C. Cadieux, R. Alonso, I. A. Strakhov, S. B. Howell, C. Littlefield, E. Furlan, P. J. Amado, J. M. Jenkins, J. D. Twicken, M. Sucerquia, Y. T. Davis, N. Schanche, K. A. Collins, A. Burdanov, F. Davoudi, B.-O. Demory, L. Delrez, G. Dransfield, E. Ducrot, L. J. Garcia, M. Gillon, Y. Gómez Maqueo Chew, C. Janó Muñoz, E. Jehin, C. A. Murray, P. Niraula, P. P. Pedersen, D. Queloz, R. Rebolo-López, M. G. Scott, D. Sebastian, M. J. Hooton, S. J. Thompson, A. H. M. J. Triaud, J. de Wit, M. Ghachoui, Z. Benkhaldoun, R. Doyon, D. Lafrenière, V. Casanova, A. Sota, I. Plauchu-Frayn, A. Khandelwal, F. Zong Lang, U. Schroffenegger, S. Wampfler, M. Lendl, R. P. Schwarz, F. Murgas, E. Palle, H. Parviainen
Comments: 18 pages article, 12 pages Appendix. Accepted for publication in A&A. Corresponding authors: S. Zúñiga-Fernández and F. J. Pozuelos
Subjects: Earth and Planetary Astrophysics (astro-ph.EP); Solar and Stellar Astrophysics (astro-ph.SR)
Cite as: arXiv:2508.14176 [astro-ph.EP] (or arXiv:2508.14176v1 [astro-ph.EP] for this version)
https://doi.org/10.48550/arXiv.2508.14176
Focus to learn more
Submission history
From: Sebastián Zúñiga-Fernández
[v1] Tue, 19 Aug 2025 18:01:10 UTC (17,106 KB)
https://arxiv.org/abs/2508.14176
Astrobiology,






